sonde température hs? affichage temperature nul
Règles du forum
En naviguant sur le site http://www.landroverfaq.com vous reconnaissez avoir lu ses Conditions d’Utilisation, vous déclarez les comprendre et vous acceptez d’y être lié de manière inconditionnelle. Si tel n'est pas le cas, merci de quitter immédiatement ce site.
Vous pouvez joindre autant d'images que nécessaire à vos messages A LA CONDITION EXPRESSE d'utiliser l'hébergement fourni par le site.
L'administrateur effacera systématiquement tout message contenant des photos hébergées chez Imageschack, Casimage, Wistiti ou tout autre hébergeur tiers sans sommation ni justification.
En naviguant sur le site http://www.landroverfaq.com vous reconnaissez avoir lu ses Conditions d’Utilisation, vous déclarez les comprendre et vous acceptez d’y être lié de manière inconditionnelle. Si tel n'est pas le cas, merci de quitter immédiatement ce site.
Vous pouvez joindre autant d'images que nécessaire à vos messages A LA CONDITION EXPRESSE d'utiliser l'hébergement fourni par le site.
L'administrateur effacera systématiquement tout message contenant des photos hébergées chez Imageschack, Casimage, Wistiti ou tout autre hébergeur tiers sans sommation ni justification.
sonde température hs? affichage temperature nul
bonjour a tous,
après etre resté immobilisé pendant 3 mois, mon disco 300tdi n'affiche plus de variation de température au tableau de bord.
j'ai vérifié tous les fusibles, au cas ou, bilan: ok
jai donc changé la sonde qui se trouve sur le haut de la culasse(il me semble que c'est elle qui gère l'affichage) et toujours rien!
je me suis fais un joint de culasse l'an dernier et j'ai peur d'une nouvelle série noire, donc si vous avez une quelconque piste a m'indiquer, n'hésitez pas!
un grand merci d'avance pour vos réponses!!!
après etre resté immobilisé pendant 3 mois, mon disco 300tdi n'affiche plus de variation de température au tableau de bord.
j'ai vérifié tous les fusibles, au cas ou, bilan: ok
jai donc changé la sonde qui se trouve sur le haut de la culasse(il me semble que c'est elle qui gère l'affichage) et toujours rien!
je me suis fais un joint de culasse l'an dernier et j'ai peur d'une nouvelle série noire, donc si vous avez une quelconque piste a m'indiquer, n'hésitez pas!
un grand merci d'avance pour vos réponses!!!
- The Pater
- Modérateur
- Messages : 13981
- Enregistré le : 25/08/2004 8:19
- Localisation : 06°27'46"E 45°50'29"N
Re: sonde température hs? affichage temperature nul
Sur le haut de la culasse ?kif38 a écrit : jai donc changé la sonde qui se trouve sur le haut de la culasse(il me semble que c'est elle qui gère l'affichage) et toujours rien!
La sonde se trouve juste en dessous du logement du thermostat. Si tu as la clim, ne te trompe pas avec la sonde pour la clim qui est sur le coude après le thermostat.
Dévisse le bouchon sur le dessus du logement du thermostat. Le boitier doit être rempli de liquide de refroidissement. Si c'est bon, alors tu as surement un problème électrique. Et donc il te faudra t'armer d'un multimètre, en as tu un ?je me suis fais un joint de culasse l'an dernier et j'ai peur d'une nouvelle série noire, donc si vous avez une quelconque piste a m'indiquer, n'hésitez pas!
A+
Ingénieur :
Personne faisant un travail divinatoire de précision basé sur des informations peu fiables données par des personnes peu qualifiées, voire ignorantes.
=>, magicien, devin, sorcier
Personne faisant un travail divinatoire de précision basé sur des informations peu fiables données par des personnes peu qualifiées, voire ignorantes.
=>, magicien, devin, sorcier
- LØLØ
- Modérateur
- Messages : 6210
- Enregistré le : 30/07/2006 15:41
- Localisation : guainville (28 )
- Contact :
Re: sonde température hs? affichage temperature nul
Salut, ôte nous un doute, tu as bien changé ceci:
1) Sonde d'indication de température: 2) et non ceci qui est la sonde de température nécessaire à la gestion de la vanne EGR. elle, elle est bien, sur la culasse. Un test simple a faire, tu mets directement le fil de la sonde a la masse, et tu vois si tu a une déviation de l'aiguille vers le max. Il te suffis juste devoir l'aiguille monté, mais ne reste pas dans cette position teste.
•Si l'aiguille monte le circuit est OK la sonde est HS.
•Si cela ne bouge pas, il y a un problème dans la liaison. Contrôle les connecteurs que tu as sur le tablier, éventuellement, mets un produit spécial contact.
A+
1) Sonde d'indication de température: 2) et non ceci qui est la sonde de température nécessaire à la gestion de la vanne EGR. elle, elle est bien, sur la culasse. Un test simple a faire, tu mets directement le fil de la sonde a la masse, et tu vois si tu a une déviation de l'aiguille vers le max. Il te suffis juste devoir l'aiguille monté, mais ne reste pas dans cette position teste.
•Si l'aiguille monte le circuit est OK la sonde est HS.
•Si cela ne bouge pas, il y a un problème dans la liaison. Contrôle les connecteurs que tu as sur le tablier, éventuellement, mets un produit spécial contact.
A+
Modifié en dernier par LØLØ le 13/04/2011 11:30, modifié 1 fois.
2 solutions: la bonne et l'Anglaise
LUCAS: Il n'y a pas de contact où il le faut et il y en a un où il ne faut pas
On ne peut aller loin en amitié, si on n'est pas disposé à se pardonner les uns aux autres les petits défauts.
www.eternal-vehicles.fr
LUCAS: Il n'y a pas de contact où il le faut et il y en a un où il ne faut pas
On ne peut aller loin en amitié, si on n'est pas disposé à se pardonner les uns aux autres les petits défauts.
www.eternal-vehicles.fr
- The Pater
- Modérateur
- Messages : 13981
- Enregistré le : 25/08/2004 8:19
- Localisation : 06°27'46"E 45°50'29"N
Re: sonde température hs? affichage temperature nul
Celle-là, je n'y ai pas pensé du tout, du tout.LØLØ a écrit : et non ceci qui est la sonde de température nécessaire à la gestion de la vanne EGR. elle, elle est bien, sur la culasse.
Kif 38,
Une photo plus large avec la position de la sonde de température de liquide de refroidissement.
A+
Ingénieur :
Personne faisant un travail divinatoire de précision basé sur des informations peu fiables données par des personnes peu qualifiées, voire ignorantes.
=>, magicien, devin, sorcier
Personne faisant un travail divinatoire de précision basé sur des informations peu fiables données par des personnes peu qualifiées, voire ignorantes.
=>, magicien, devin, sorcier
Re: sonde température hs? affichage temperature nul
Dévisse le bouchon sur le dessus du logement du thermostat. Le boitier doit être rempli de liquide de refroidissement. Si c'est bon, alors tu as surement un problème électrique. Et donc il te faudra t'armer d'un multimètre, en as tu un ?
le multimetre je l'ai fait chauffer avant d'appeler au secours, test des fusible et d'une partie du circuit elec!
merci du tuyau pour la vérif du niveau dans la boite a eau!
le multimetre je l'ai fait chauffer avant d'appeler au secours, test des fusible et d'une partie du circuit elec!
merci du tuyau pour la vérif du niveau dans la boite a eau!
Re: sonde température hs? affichage temperature nul
Un test simple a faire, tu mets directement le fil de la sonde a la masse, et tu vois si tu a une déviation de l'aiguille vers le max. Il te suffis juste devoir l'aiguille monté, mais ne reste pas dans cette position teste. Si l'aiguille monte le circuit est OK la sonde est HS si cela ne bouge pas, il y a un problème dans la liaison. Contrôle les connecteurs que tu as sur le tablier, éventuellement, mets un produit spécial contact.
merci pour tes lumières LoLO, je suis effectivement un ane mais j'aurai au moin une sonde toute neuve!
la bonne sera commandée dès demain!
j'ai effectué ton test et l'aiguille s'est levée. concluant!!! et plus simple qu'au multimetre!
petite question: il y a t'il une raison pour que la sonde lache subitement?
merci pour tes lumières LoLO, je suis effectivement un ane mais j'aurai au moin une sonde toute neuve!
la bonne sera commandée dès demain!
j'ai effectué ton test et l'aiguille s'est levée. concluant!!! et plus simple qu'au multimetre!
petite question: il y a t'il une raison pour que la sonde lache subitement?
Re: sonde température hs? affichage temperature nul
merci a tous pour le temps que vous avez pris pour me venir en aide! 
- LØLØ
- Modérateur
- Messages : 6210
- Enregistré le : 30/07/2006 15:41
- Localisation : guainville (28 )
- Contact :
Re: sonde température hs? affichage temperature nul
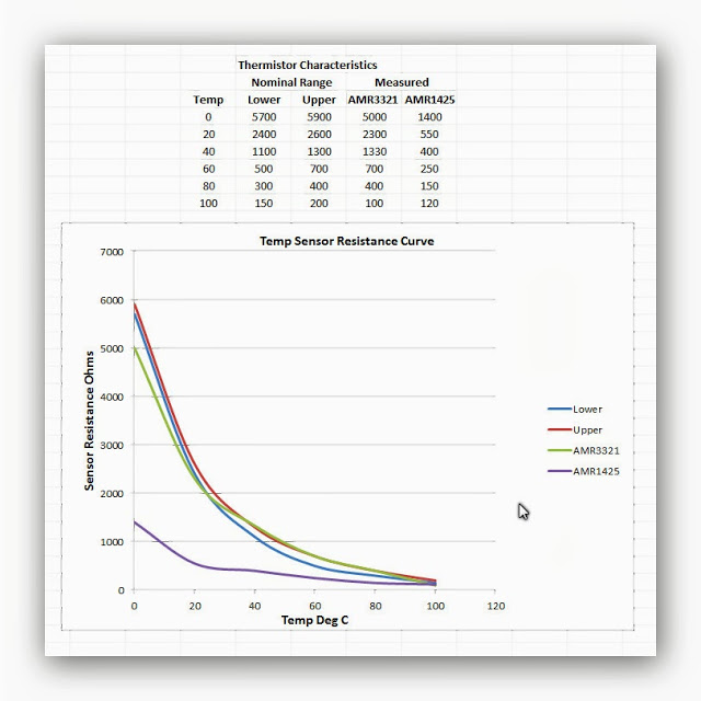
Salut, un serrage trop viril, un enfichage maladroit de la cosse, un choc électrique, une fragilité de fabrication, un désétalonnage. Les problèmes liés aux sondes reviennent régulièrement. Mais te dire pourquoi? Ne te trompe pas de référence entre une sonde de 300Tdi de disco (AMR1425) et une de 300Tdi de defender (AMR3321). Les galvanomètres ne sont pas les mêmes et taré différemment. Si tu inverses les sondes, tu auras l'impression que ton disco ne chauffe pas alors que sur le def tu seras en limite de zone rouge voir dedans.kif38 a écrit : petite question: il y a t'il une raison pour que la sonde lache subitement?
Une doc faite par un collègue australien (p38arover) comparant les deux sondes de température disco et defender: A+
2 solutions: la bonne et l'Anglaise
LUCAS: Il n'y a pas de contact où il le faut et il y en a un où il ne faut pas
On ne peut aller loin en amitié, si on n'est pas disposé à se pardonner les uns aux autres les petits défauts.
www.eternal-vehicles.fr
LUCAS: Il n'y a pas de contact où il le faut et il y en a un où il ne faut pas
On ne peut aller loin en amitié, si on n'est pas disposé à se pardonner les uns aux autres les petits défauts.
www.eternal-vehicles.fr